Öйú¡¤½ðɳ³Çjs93Ïß·¼ì²âÖÐÐÄ(¹É·Ý)ÓÐÏÞ¹«Ë¾-¹Ù·½ÍøÕ¾

background
ÁªÏµÖйú¡¤½ðɳ³Çjs93Ïß·¼ì²âÖÐÐÄ(¹É·Ý)ÓÐÏÞ¹«Ë¾-¹Ù·½ÍøÕ¾
½ðɳ³Çjs93Ïß·¼ì²âÖÐÐÄ
153-4221-4292

ÊÖ»ú£ºÍô˾Àí15802760502

ÓÊÏ䣺hezi027@qq.com

QQ£º3212587206

µØµã£ºÎ人Êй¤¾ßºþÇø´´¹È·20ºÅ¿Æ´´ÖÐÐÄ22¶°

¸É»õ¿ÎÌà | µçÀÂÕðµ´²¨¾Ö·ÅÊÔÑé

Ðû²¼Ê±¼ä£º2025-02-28 13:04:33ÈËÆø£º
       µçÀÂÕñµ´²¨¼ì²âÊÖÒÕÖ÷ÒªÓÃÓÚ½»Áª¾ÛÒÒÏ©µçÁ¦µçÀ¼ì²â£¬£¬£¬£¬£¬ £¬ÊÇÊôÓÚÀëÏß¼ì²âµÄÒ»ÖÖÓÐÓÃÐÎʽ ¡£¡£¡£¡£¡£¡£¡£¸ÃÊÖÒÕ»ùÓÚLCR×èÄáÕñµ´Ô­Àí£¬£¬£¬£¬£¬ £¬ÔÚÍê³ÉµçÀÂÖ±Á÷³äµçµÄ»ù´¡ÉÏ£¬£¬£¬£¬£¬ £¬Í¨¹ýÄÚÖõĸßѹµç¿¹Æ÷¡¢¸ßѹʵʱ¹Ì̬¿ª¹ØÓëÊÔÆ·µçÀÂÐγÉ×èÄáÕñµ´µçѹ²¨£¬£¬£¬£¬£¬ £¬ÔÚÊÔÆ·µçÀÂÉÏÊ©¼Ó½üËÆ¹¤ÆµµÄÕýÏÒµçѹ²¨£¬£¬£¬£¬£¬ £¬Òý·¢³öµçÀÂDZÔÚȱÏÝ´¦µÄ·ÅµçÐźŠ¡£¡£¡£¡£¡£¡£¡£

???????       µçÀÂÕðµ´²¨ÊÔÑéÔ­Àí±ê×¼»ùÓÚ×èÄáÕñµ´²¨µÄµçÀ¾ַżì²âÒªÁì¾ßÓй©µçÈÝÁ¿Ð¡¡¢²âÊÔʱ¼ä¶Ì¡¢ÏÖ³¡²Ù×÷Àû±ã¡¢¶ÔµçÀ±¾ÌåÎÞËðÉ˵ÈÏÔÖøÌØµã£¬£¬£¬£¬£¬ £¬¿ÉÔ¤ÏÈ·¢Ã÷ȱÏݲ¢¶ÔȱÏÝ׼ȷ¶¨Î»£¬£¬£¬£¬£¬ £¬ÊÇÏÖÔÚÉÏÏȽøµÄµçÀ¾ַÅÕï¶ÏÒªÁìÖ®Ò» ¡£¡£¡£¡£¡£¡£¡£

???????       Åбð¾Ö·ÅÀàÐͲ¢¶¨Î»¹ÊÕÏλÖà ¡£¡£¡£¡£¡£¡£¡£¸ÃÊÖÒÕÔÚ½üËÆ¹¤Æµ×´Ì¬Ï»ùÓÚÂö³åµçÁ÷·¨¸ßѸËٶȼì²â¾Ö²¿·Åµç£¬£¬£¬£¬£¬ £¬ÔÚ´Ë»ù´¡ÉÏÌáÈ¡¾Ö·ÅÂö³åµÄÐÅÏ¢£¬£¬£¬£¬£¬ £¬ÍŽá¹ÊÕÏģʽ¿âÅбðʵ²â¹ÊÕÏÀàÐÍ£»£»£»£»£»£»£»£»»ùÓÚÂö³åÐźÅÔÚµçÀÂÖÐÈö²¥µÄÐв¨Ô­ÀíÍê³ÉÂö³å¶ÔµÄÆ¥Å䣬£¬£¬£¬£¬ £¬Æ¾Ö¤Ê±¼ä²îË㷨׼ȷÅÌËã¹ÊÕϵãËùÔÚλÖà ¡£¡£¡£¡£¡£¡£¡£

ÊÔÑé×°±¸£º

½ðɳ³Çjs93Ïß·¼ì²âÖÐÐÄ

       Õðµ´²¨ÊÇÒ»ÖÖ½ô´Õ, ÇáÁ¿ÇÒÓÃ;ÆÕ±éµÄ²úƷϵÁÐ, ÓÃÓÚ²âÊÔºÍÕï¶ÏÖÐѹÅäµçµçÀ ¡£¡£¡£¡£¡£¡£¡£ÏµÍ³¿É±à³Ì¿ØÖÆ, ¾ßÓÐ×Ô¶¯ÄÍѹ, ¾Ö²¿·Åµç (PD) ÕÉÁ¿ºÍÆÊÎöÒÔ¼°¾Ö·Å¶¨Î»¹¦Ð§ ¡£¡£¡£¡£¡£¡£¡£Ê¹Óà ÅäÌ×Ì×¼þ¿ÉÒÔÇáËɾÙÐпØÖÆºÍÆÊÎö ¡£¡£¡£¡£¡£¡£¡£

       DAC µçÀ²âÊÔ²»µ«½öÊÇ»ù±¾µÄÆÀ¹À“ºÃ»ò»µ”µÄÕÉÁ¿ÊÖ¶Î, ¸üÊÇÒ»Ö֏߽׵įÊÎöºÍÕï¶ÏÀíÄî ¡£¡£¡£¡£¡£¡£¡£ËüÔÊÐí¶ÔРװ, άÐÞ»òÍýÏëÄ¥Á·µÄµçÀ¾øÔµ×´Ì¬¾ÙÐÐÆÀ¹À, ´Ó¶øÎª×ʲúÖÎÀíÌṩ²Î¿¼ ¡£¡£¡£¡£¡£¡£¡£ÏµÍ³µÄÕÉÁ¿Ä£Ê½°üÀ¨£º
 
ÔÚÒ»ÂÉ»ò¸ßÓÚ¹¤¿öµçѹϵÄÄÍѹ²âÊÔ,

¶ÔÕûÌåµçÀÂϵͳ¾ÙÐоֲ¿·ÅµçÕÉÁ¿, ÆÊÎöºÍ¶¨Î»

½éËðÒò×Ó (tan δ) µÄ¹ÀËã ¡£¡£¡£¡£¡£¡£¡£


       DAC µçѹ²âÊÔºÍ¾Ö·ÅÆÊÎöÄܹ»¿É¿¿µØ¼ì²â
 
ÓÉ×°ÖûòÆÌÉèÒýÆðµÄ¾øÔµÈ±ÏÝ

µçÀ¸½¼þµÄȱÏÝ, ¼´ÖÐÐÄÌÖÂۺ͵çÀÂÖÕ¶Ë

ÓÉÀÏ»¯Àú³Ìµ¼ÖµĵçÀ¾øÔµÁÓ»¯

ÊÔÑéÔ­Àí£º
Ô­Àíͼ

½ðɳ³Çjs93Ïß·¼ì²âÖÐÐÄ
 
µ´²¨¾Ö·Å²âÊÔÔ­Àí

       »ùÓÚ OWTS ÊÖÒյIJâÊÔµçѹ±¬·¢Ô­ÀíÈçͼ1Ëùʾ ¡£¡£¡£¡£¡£¡£¡£Ö±Á÷¸ßѹµçÔ´Ê×ÏÈͨ¹ýÏßÐÔÒ»Á¬Éýѹ·½·¨¶Ô±»²âµçÀ¾ÙÐÐÖð²½³äµçª¨³äµçµçÁ÷ºã¶¨ª©¡¢¼ÓѹÖÁÔ¤ÉèÖµ ¡£¡£¡£¡£¡£¡£¡£¼ÓѹÍê³Éºó£¬£¬£¬£¬£¬ £¬¹Ì̬¸ßѹ¿ª¹Ø S£¨¼¤¹â´¥·¢³¡Ð§Ó¦¹Ü LTT£©ÔÚСÓÚ 1μS µÄʱ¼äÄڱպϣ¬£¬£¬£¬£¬ £¬Ê¹±»²âµçÀµçÈÝÓë OWTS ϵͳÖиßѹµç¸Ð L ±¬·¢Ð³Õñ´Ó¶øÔÚ±»²âµçÀÂÉϱ¬·¢×èÄáÕñµ´½»±äµçѹ£¨DAC£©£¬£¬£¬£¬£¬ £¬Æä²¨Ðμ°ÆµÂÊ¿¿½ü¹¤Æµµçѹ£¬£¬£¬£¬£¬ £¬ÇÒÒ»Á¬Ê±¼äΪ mS ¼¶£¬£¬£¬£¬£¬ £¬¶ÔµçÀ¾øÔµÎÞËðÉË ¡£¡£¡£¡£¡£¡£¡£

       ÓÃÖ±Á÷µçÔ´½«±»²âÊÔµçÀÂÔÚ¼¸ÃëÖÐÄÚ³äµçÖÁÊÂÇéµçѹ(¶î¶¨µçѹ) ¡£¡£¡£¡£¡£¡£¡£ÊµÊ±¿ìËÙ״̬¿ª¹Ø S ±ÕºÏ£¬£¬£¬£¬£¬ £¬½«±»²âµçÀºͿÕÐĵç¸Ð×é³É´®ÁªÐ³Õñ»ØÂ·

½ðɳ³Çjs93Ïß·¼ì²âÖÐÐÄ

       »ØÂ·×îÏÈÒÔµÄÆµÂʾÙÐÐÕñµ´ ¡£¡£¡£¡£¡£¡£¡£¿£¿£¿ £¿£¿ÕÐĵç¸Ðֵƾ֤гÕñƵÂʵÄÒªÇó¾ÙÐÐÑ¡Ôñ£¬£¬£¬£¬£¬ £¬ÆµÂʹæÄ£ 50-1000Hz ¡£¡£¡£¡£¡£¡£¡£Í¼ 1 ÖеÄÖÐѹµç·һÑùƽ³£¾ßÓÐÏà¶ÔµÍµÄ½éÖÊÏûºÄ½ÇµÄÌØµã£¬£¬£¬£¬£¬ £¬Óë¾ßÓеÍÏûºÄµÄ¿ÕÐĵç¸ÐÏàÅ䣬£¬£¬£¬£¬ £¬¿É»ñµÃ¾ßÓÐ¸ßÆ·ÖÊÒòÊýµÄгÕñ»ØÂ· ¡£¡£¡£¡£¡£¡£¡£»£»£»£»£»£»£»£»ØÂ·Æ·ÖÊ Q Ò»Ñùƽ³£Îª30-100£¬£¬£¬£¬£¬ £¬Õñµ´²¨ÒÔгÕñƵÂÊÔÚ 0.3-1s ÄÚË¥¼õÍê±Ï£¬£¬£¬£¬£¬ £¬ÕâÒ»Àú³ÌÖ»Óм¸Ê®·ÖÖ®Ò»Öܲ¨£¬£¬£¬£¬£¬ £¬²¢¶Ô±»²âÊÔµçÀ³äµç£¬£¬£¬£¬£¬ £¬Óë 50Hz(60Hz)Ê±ÊÆ²¿·ÅµçºÜÊÇÏàËÆ ¡£¡£¡£¡£¡£¡£¡£

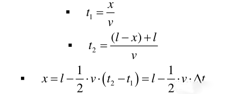
       ÏµÍ³½ÓÄÉÂö³å·´Éä·¨¾ÙÐоֲ¿·Åµç¶¨Î»£¬£¬£¬£¬£¬ £¬Ô­ÀíʾÒâÈçͼËùʾ ¡£¡£¡£¡£¡£¡£¡£²âÊÔÒ»Ìõ³¤¶ÈΪ LµÄµçÀÂ,¼ÙÉèÔÚ¾à²âÊÔ¶Ë x ´¦±¬·¢¾Ö²¿·Åµç,Âö³åÑØµçÀÂÏòÁ½¸öÏà·´Æ«ÏòÈö²¥,ÆäÖÐÒ»¸öÂö³å(ΪÀû±ãÆð¼û,ÎÄÖгÆÎª“ÈëÉ䲨”)¾­ÓÉʱ¼ä t 1 µÖ´ï²âÊÔ¶Ë,ÁíÒ»¸öÂö³å(±¾ÎÄÖгÆÎª“·´É䲨”)Ïò²âÊÔ¶Ô¶ËÈö²¥,²¢ÔڶԶ˱¬·¢·´Éä,Ö®ºóÔÙÏò²âÊÔ¶ËÈö²¥ªª¾­ÓÉʱ¼ä t 2 µÖ´ï²âÊÔ¶Ë ¡£¡£¡£¡£¡£¡£¡£Æ¾Ö¤Á½¸öÂö³åµÖ´ïÊԶ˵Äʱ¼ä²î¡÷ t£¬£¬£¬£¬£¬ £¬¿ÉÅÌËã¾Ö²¿·Åµç±¬·¢Î»Ö㬣¬£¬£¬£¬ £¬¼´£º

½ðɳ³Çjs93Ïß·¼ì²âÖÐÐÄ
       Ê½ÖУ¬£¬£¬£¬£¬ £¬ v ΪÂö³åÔÚµçÀÂÖÐÈö²¥µÄ²¨ËÙ

½ðɳ³Çjs93Ïß·¼ì²âÖÐÐÄ

½ðɳ³Çjs93Ïß·¼ì²âÖÐÐÄ
ͼ 2Âö³å·´Éä·¨Ô­ÀíʾÒâͼ

       ¹ØÓÚÏÖ³¡µÄµçÀ¾ַÅÕÉÁ¿¶¨Î»À´Ëµªª±»²âµçÀ³¤¶ÈÒ»Ö±ÊÇÓ°ÏìÕÉÁ¿×¼È·ÐÔµÄÒ»¸öÖ÷ÒªÒòËØ ¡£¡£¡£¡£¡£¡£¡£²»µ«ÊÇÓÉÓÚ¸ü³¤µÄµçÀ¶ÔÓ¦ÓµÓиü´óµÄµçÈÝÖµ£¬£¬£¬£¬£¬ £¬¹ØÓÚ¼Óѹ³äµç»·½ÚÒâζןü¸ßµÄ³äµç¹¦ÂÊ£¬£¬£¬£¬£¬ £¬Í¬Ê±Ò²ÓÉÓÚ¸ü³¤µÄµçÀÂ»á¸øËùÐè²¶»ñ¾Ö·ÅÐźŴøÀ´¸ü´óµÄË¥¼õºÍ»û±ä ¡£¡£¡£¡£¡£¡£¡£

???????       ¹Å°åµ¥¶ËÕñµ´²¨²âÊÔϵͳÊÇ»ùÓÚÔÚ±»²âµçÀµÄÒ»¶Ë¼ì²â¾Ö·Å³õʼÐźźÍͳһ¾Ö·ÅÊÂÎñ´ÓµçÀÂÔ¶¶ËÕۻط´ÉäÐźŵÄʱ¼ä²î ¡£¡£¡£¡£¡£¡£¡£ÈôÊǾַÅȱÏÝλÓÚ¿¿½üµçÀ½ü¶ËÒ»²à£¬£¬£¬£¬£¬ £¬¾Ö·ÅµÄ·´É䲨ÐÎÔòÐè;¾¶Áè¼Ý 1,5 ±¶µçÀÂÈ«³¤µÄ·¾¶²Å»ªµÖ´ï½ü¶ËµÄ¼ì²âµ¥Î»£¬£¬£¬£¬£¬ £¬Õâ»á¸ø¾Ö·ÅÐźŴøÀ´ÎÞ·¨×èÖ¹µÄÎÞν˥¼õ ¡£¡£¡£¡£¡£¡£¡£


Êý¾ÝÆÊÎö£º

½ðɳ³Çjs93Ïß·¼ì²âÖÐÐÄ
???????       ÆÊÎö²âÊÔ¸ÅÀÀ½çÃæ¿É¿´µ½ÏêϸµÄÉèÖᢵçÀµĵçÈÝ¡¢Õñµ´ÆµÂÊ¡¢Î¶ȵÈÏêϸÐÅÏ¢

½ðɳ³Çjs93Ïß·¼ì²âÖÐÐÄ

???????       Ð£Ñ鲨ÐΣ¬£¬£¬£¬£¬ £¬¿É¿´µçÀÂÈ«³¤¼°ÖÐÐÄÌÖÂÛµÄÏêϸλÖÃ

½ðɳ³Çjs93Ïß·¼ì²âÖÐÐÄ

???????       PRPD ͼһÈýÏóÏ޵ķŵçͼÆ×

½ðɳ³Çjs93Ïß·¼ì²âÖÐÐÄ

???????       ·´É伴λÖÃÓ³Ïñͼªªµã»÷ÓÒ±ßѰÕÒ·´É䲨£¬£¬£¬£¬£¬ £¬µ±ÐźÅÊÂÎñ½ÏÉÙʱ£¬£¬£¬£¬£¬ £¬Îó²î¹æÄ£µ÷´óµã£¬£¬£¬£¬£¬ £¬È»ºóÊÓ²ìÓÐÎÞÖù×´·ÅµçÌØÕ÷¼°·ÅµçÌØÕ÷²¨ÐÎ

½ðɳ³Çjs93Ïß·¼ì²âÖÐÐÄ

       ÏêϸÐÅÏ¢À¸Àï¿É¿´µçÀµçÈÝÖµ¡¢ÆµÂÊ¡¢×èÄáË¥¼õÇúÏß¼°µçÀµĽéËðÖµ ¡£¡£¡£¡£¡£¡£¡£
ÔÚÏ߿ͷþ

ΪÄúЧÀÍ

24Сʱ×ÉѯÈÈÏß
ÕÐͶ±êÏàÖú:15802760502
¡¾ÍøÕ¾µØÍ¼¡¿¡¾sitemap¡¿