ÁªÏµÖйú¡¤½ðɳ³Çjs93Ïß·¼ì²âÖÐÐÄ(¹É·Ý)ÓÐÏÞ¹«Ë¾-¹Ù·½ÍøÕ¾

ÊÖ»ú£ºÍô˾Àí15802760502
ÓÊÏ䣺hezi027@qq.com
QQ£º3212587206
µØµã£ºÎ人Êй¤¾ßºþÇø´´¹È·20ºÅ¿Æ´´ÖÐÐÄ22¶°
Ïà¹ØÎÄÕÂ
- 1¸É»õ·ÖÏíØÎ人Öйú¡¤½ðɳ³Çjs93Ïß·¼ì²âÖÐÐÄ(¹É·Ý)ÓÐÏÞ¹«Ë¾-¹Ù·½ÍøÕ¾ÖÇÄܼì²âÖÎÀíϵͳÏÈÈÝ
- 2¸É»õ·ÖÏíØÎ人Öйú¡¤½ðɳ³Çjs93Ïß·¼ì²âÖÐÐÄ(¹É·Ý)ÓÐÏÞ¹«Ë¾-¹Ù·½ÍøÕ¾Çå¾²¹¤Óþ߼ì²âÖÎÀíϵͳ(ÔÆÆ½Ì¨)ÏÈÈÝ
- 3¸É»õ·ÖÏíØÁ½ÖÖÀ׵繥»÷×°±¸±ÈÕÕÓÅÈõµã
- 4¸É»õ·ÖÏíØ¾Ö·ÅÆÁÕÏÊұȵç´ÅÆÁÕÏÊÒÒªÇó¸ü¸ß
- 5¸É»õ·ÖÏíØÎ人Öйú¡¤½ðɳ³Çjs93Ïß·¼ì²âÖÐÐÄ(¹É·Ý)ÓÐÏÞ¹«Ë¾-¹Ù·½ÍøÕ¾²úÆ·ÓÅÊÆ
- 6¸É»õ·ÖÏíØÎ人Öйú¡¤½ðɳ³Çjs93Ïß·¼ì²âÖÐÐÄ(¹É·Ý)ÓÐÏÞ¹«Ë¾-¹Ù·½ÍøÕ¾Çå¾²¹¤Óþ߲úÆ·ÓÅÊÆ
- 7¸É»õ·ÖÏíØÎ人Öйú¡¤½ðɳ³Çjs93Ïß·¼ì²âÖÐÐÄ(¹É·Ý)ÓÐÏÞ¹«Ë¾-¹Ù·½ÍøÕ¾¾Ö·ÅÒDzî±ð¼°ÓÅÊÆ
- 8¸É»õ·ÖÏíØÎ人Öйú¡¤½ðɳ³Çjs93Ïß·¼ì²âÖÐÐÄ(¹É·Ý)ÓÐÏÞ¹«Ë¾-¹Ù·½ÍøÕ¾ÎÞ¾Ö·ÅÄÍѹ²âÊÔϵͳÓÅÊÆ
- 9¸É»õ·ÖÏíØÎ人Öйú¡¤½ðɳ³Çjs93Ïß·¼ì²âÖÐÐÄ(¹É·Ý)ÓÐÏÞ¹«Ë¾-¹Ù·½ÍøÕ¾À׵繥»÷²âÊÔϵͳÓÅÊÆ
- 10HZHL-400A-I ÈýÏàÖÇÄÜ»ØÂ·µç×è²âÊÔÒDZܿÓÖ¸ÄÏ
½éÖÊÏûºÄÕÉÁ¿ÒªÁìµÄÒâÒå¼°ÔÀí--¡¾Öйú¡¤½ðɳ³Çjs93Ïß·¼ì²âÖÐÐÄ(¹É·Ý)ÓÐÏÞ¹«Ë¾-¹Ù·½ÍøÕ¾¡¿
Ðû²¼Ê±¼ä£º2024-03-18 15:51:35ÈËÆø£º
ÕâÊÇÒ»ÖÖʹÓý϶ಢÇÒ¶ÔÅиôÀëÔµ½ÏΪÓÐÓõÄÒªÁì¡£¡£¡£¡£¡£¡£¡£
ͼ1ΪÔÚ½»Á÷µçѹ×÷ÓÃϾøÔµµÄµÈÖµµç·ºÍÏàÁ¿Í¼¡£¡£¡£¡£¡£¡£¡£ÓÉͼ¿É¼û£¬£¬£¬£¬£¬£¬£¬£¬Á÷¹ý½éÖʵĵçÁ÷ÓÉÁ½²¿·Ö×é³É£¬£¬£¬£¬£¬£¬£¬£¬¼´Í¨¹ýCxµÄµçÈݵçÁ÷·ÖÁ¿ICx,ͨ¹ýRxµÄÓÐI¹¦µçÁ÷·ÖÁ¿IRx¡£¡£¡£¡£¡£¡£¡£Í¨³£ICx>>IRx,½éÖÊËðʧ½ÇδÉõС¡£¡£¡£¡£¡£¡£¡£½éÖÊÖеŦÂÊÏûºÄ
tgδΪ½éÖÊÏûºÄ½ÇµÄÕýÇÐ(»ò³Æ½éÖÊÏûºÄÒòÊý)£¬£¬£¬£¬£¬£¬£¬£¬Ò»Ñùƽ³£¾ù½ÏÁ¿Ð¡¡£¡£¡£¡£¡£¡£¡£Ï°¹ßÉÏÒ²ÓгÆtgδΪ½éÖÊÏûºÄ½ÇµÄ¡£¡£¡£¡£¡£¡£¡£
ͨ¹ýÕÉÁ¿tg䣬£¬£¬£¬£¬£¬£¬£¬¿ÉÒÔ·´Ó¦³ö¾øÔµµÄһϵÁÐȱÏÝ£¬£¬£¬£¬£¬£¬£¬£¬Èç¾øÔµÊܳ±£¬£¬£¬£¬£¬£¬£¬£¬ÓÍ»ò½þ×ÕÎïÔàÎÛ»òÁÓ»¯±äÖÊ£¬£¬£¬£¬£¬£¬£¬£¬¾øÔµÖÐÓÐÆøÏ¶±¬·¢·ÅµçµÈ¡£¡£¡£¡£¡£¡£¡£Õâʱ£¬£¬£¬£¬£¬£¬£¬£¬Á÷¹ý¾øÔµµÄµçÁ÷ÖÐÓ馵çÁ÷·ÖÁ¿IRxÔö´óÁË£¬£¬£¬£¬£¬£¬£¬£¬tgδÒ²¼Ó´ó¡£¡£¡£¡£¡£¡£¡£ÐèÒªÖ¸³öµÄÊÇ£º¾øÔµÖб£´æÆøÏ¶ÕâÖÖȱÏÝ£¬£¬£¬£¬£¬£¬£¬£¬×îºÃͨ¹ý×÷tgδÓëÍâ¼ÓµçѹµÄ¹ØÏµÇúÏßtgδ=f(U)À´·¢Ã÷¡£¡£¡£¡£¡£¡£¡£
ÀýÈç¹ØÓÚ·¢µç»úÏß°ô£¬£¬£¬£¬£¬£¬£¬£¬ÈôÊǾøÔµÀÏ»¯¡¢ÆøÏ¶½Ï¶à¡¢Ôòtgδ=f(U)½«·ºÆðÏÔ×ŵÄתÕÛ¡¢Èçͼ2Ëùʾ¡£¡£¡£¡£¡£¡£¡£Uc´ú±íÆøÏ¶×îÏȷŵçʱµÄÍâ¼Óµçѹ£¬£¬£¬£¬£¬£¬£¬£¬´ÓtgδÔöÌíµÄ¶¸¶È¿É·´Ó¦³öÀÏ»¯µÄˮƽ¡£¡£¡£¡£¡£¡£¡£µ«¹ØÓÚ±äµç×°±¸À´Ëµ£¬£¬£¬£¬£¬£¬£¬£¬ÓÉÓÚµçÇŵçѹ(2500~10000V)³£Ô¶µÍÓÚ×°±¸µÄÊÂÇéµçѹ£¬£¬£¬£¬£¬£¬£¬£¬Òò´ËtgδÕÉÁ¿Ëä¿É·´Ó¦³ö¾øÔµÊܳ±¡¢ÓÍ»ò½þ×ÕÎïÔàÎÛ¡¢ÁÓ»¯±äÖʵÈȱÏÝ£¬£¬£¬£¬£¬£¬£¬£¬µ«ÄÑÒÔ·´Ó¦³ö¾øÔµÄÚ²¿µÄÊÂÇéµçѹϾֲ¿·ÅµçÐÔȱÏÝ¡£¡£¡£¡£¡£¡£¡£
ÓÉÓÚtgδÊÇÒ»ÏîÌåÏÖ¾øÔµÄÚ¹¦ÂÊÏûºÄ¾ÞϸµÄ²ÎÊý£¬£¬£¬£¬£¬£¬£¬£¬¹ØÓÚÔȳƽéÖÊ£¬£¬£¬£¬£¬£¬£¬£¬ËüÏÖʵÉÏ·´Ó¦×ŵ¥Î»Ìå»ý½éÖÊÄڵĽéÖÊÏûºÄ£¬£¬£¬£¬£¬£¬£¬£¬Óë¾øÔµµÄÌå»ý¾ÞϸûÓйØÏµ¡£¡£¡£¡£¡£¡£¡£ÕâÒ»µã¿ÉÒÔÃ÷È·ÈçÏ£ºÔÚÒ»¶¨µÄ¾øÔµµÄÊÂÇ鳡ǿÏ£¬£¬£¬£¬£¬£¬£¬£¬¿ÉÒÔ½üËÆµØÒÔΪ¾øÔµºñ¶ÈÕý±ÈÓÚU¡£¡£¡£¡£¡£¡£¡£µ±¾øÔµºñ¶ÈÒ»¶¨£¬£¬£¬£¬£¬£¬£¬£¬¾øÔµÃæ»ýÔ½´ó£¬£¬£¬£¬£¬£¬£¬£¬ÆäµçÈÝÁ¿Ô½´ó£¬£¬£¬£¬£¬£¬£¬£¬ICxÒ²Ô½´ó£¬£¬£¬£¬£¬£¬£¬£¬¹ÊICXÕý±ÈÓÚ¾øÔµÃæ»ý¡£¡£¡£¡£¡£¡£¡£Òò´Ë½üËÆµØÒÔΪ¾øÔµÌå»ýÕý±ÈÓÚU ICx¡£¡£¡£¡£¡£¡£¡£ÓÉʽ£¨1£©½øÒ»²½¿ÉÖª£¬£¬£¬£¬£¬£¬£¬£¬tgδ·´Ó¦µ¥Î»Ìå»ýÖеĽéÖÊÏûºÄ¡£¡£¡£¡£¡£¡£¡£
ÈôÊǾøÔµÄÚµÄȱÏݲ»ÊÇÂþÑÜÐÔ¶øÊǼ¯ÖÐÐԵ쬣¬£¬£¬£¬£¬£¬£¬ÔòtgδÓÐʱ·´Ó¦¾Í²»Ñ¸ËÙ¡£¡£¡£¡£¡£¡£¡£±»ÊÔ¾øÔµµÄÌå»ýÔ½´ó£¬£¬£¬£¬£¬£¬£¬£¬»ò¼¯ÖÐÐÔȱÏÝËùÕ¼µÄÌå»ýԽС£¡£¡£¡£¡£¡£¡£¬£¬£¬£¬£¬£¬£¬£¬ÄÇô¼¯ÖÐÐÔȱÏÝ´¦µÄ½éÖÊÏûºÄÕ¼±»ÊÔ¾øÔµËùÓнéÖÊÏûºÄÖеıÈÖØ¾ÍԽС£¡£¡£¡£¡£¡£¡£¬£¬£¬£¬£¬£¬£¬£¬¶øICxÒ»Ñùƽ³£ÏÕЩÊÇÎȹ̵쬣¬£¬£¬£¬£¬£¬£¬¹ÊÓÉʽ£¨1£©¿ÉÖª£¬£¬£¬£¬£¬£¬£¬£¬tgδÔöÌíµÃÒ²Ô½ÉÙ£¬£¬£¬£¬£¬£¬£¬£¬ÕâÑù£¬£¬£¬£¬£¬£¬£¬£¬²âtgδ·¨¾Í²»Ñ¸ËÙ¡£¡£¡£¡£¡£¡£¡£
¹ØÓÚÏñµç»ú¡¢µçÀÂÕâÀàµçÆø×°±¸£¬£¬£¬£¬£¬£¬£¬£¬ÓÉÓÚÔËÐÐÖйÊÕ϶àΪ¼¯ÖÐÐÔȱÏÝÉú³¤ËùÖ£¬£¬£¬£¬£¬£¬£¬£¬²¢ÇÒ±»ÊÔ¾øÔµµÄÌå»ý½Ï´ó£¬£¬£¬£¬£¬£¬£¬£¬tgδ·¨Ð§¹û¾Í²îÁË¡£¡£¡£¡£¡£¡£¡£Òò´Ë£¬£¬£¬£¬£¬£¬£¬£¬Í¨³£¶ÔÔËÐÐÖеĵç»ú¡¢µçÀµÈ×°±¸¾ÙÐÐÔ¤·ÀÐÔÊÔÑéʱ£¬£¬£¬£¬£¬£¬£¬£¬±ã²»×öÕâÏîÊÔÑé¡£¡£¡£¡£¡£¡£¡£Ïà·´£¬£¬£¬£¬£¬£¬£¬£¬¹ØÓÚÌ׹ܻò»¥¸ÐÆ÷¾øÔµ£¬£¬£¬£¬£¬£¬£¬£¬tgδÊÔÑé¾ÍÊÇÒ»Ïî±Ø²»¿ÉÉÙ²¢ÇÒÊǽÏÁ¿ÓÐÓõÄÊÔÑé¡£¡£¡£¡£¡£¡£¡£ÓÉÓÚÌ׹ܵÄÌå»ýС£¡£¡£¡£¡£¡£¡£¬£¬£¬£¬£¬£¬£¬£¬tgδ·¨²»µ«¿ÉÒÔ·´Ó¦Ì׹ܾøÔµµÄÖÜÈ«ÇéÐΣ¬£¬£¬£¬£¬£¬£¬£¬²¢ÇÒÓÐʱ¿ÉÒÔ¼ì²é³öÆäÖеļ¯ÖÐÐÔȱÏÝ¡£¡£¡£¡£¡£¡£¡£
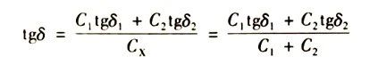
µ±±»ÊÔÆ·¾øÔµÓɲî±ðµÄ½éÖÊ×é³É£¬£¬£¬£¬£¬£¬£¬£¬ÀýÈçÓÉÁ½ÖÖ²î±ðµÄ¾øÔµ²¿·Ö²¢Áª×é³Éʱ£¬£¬£¬£¬£¬£¬£¬£¬Ôòƾ֤±»ÊÔÆ·×ܵĽéÖÊÏûºÄΪÆäÁ½¸ö×é³É²¿·Ö½éÖÊÏûºÄÖ®ºÍ£¬£¬£¬£¬£¬£¬£¬£¬²¢ÇÒ±»ÊÔÆ·ËùÊܵçѹ¼´Îª¸÷×é³É²¿·ÖËùÊܵĵçѹ£¬£¬£¬£¬£¬£¬£¬£¬ÓÉʽ£¨1£©¿ÉµÃ
Òò´Ë
ÓÉʽ(2)¿ÉÖª£¬£¬£¬£¬£¬£¬£¬£¬C2/CxԽС£¡£¡£¡£¡£¡£¡£¬£¬£¬£¬£¬£¬£¬£¬ÔòC2µÄȱÏÝ(tgδ)Ôö´ó)ÔÚ²âÕûÌåµÄtgδʱԽÄÑ·¢Ã÷£¬£¬£¬£¬£¬£¬£¬£¬¹Ê¹ØÓÚ¿ÉÒÔÆÊÎöΪ¸÷¸ö¾øÔµ²¿·ÖµÄ±»ÊÔÆ·£¬£¬£¬£¬£¬£¬£¬£¬³£ÓÃÆÊÎö¾ÙÐÐtgδÕÉÁ¿µÄ²½·¥À´¸üÓÐÓõط¢Ã÷ȱÏÝ¡£¡£¡£¡£¡£¡£¡£ÀýÈç²â±äѹÆ÷tgδʱ£¬£¬£¬£¬£¬£¬£¬£¬¶ÔÌ׹ܵÄtgδµ¥¶À¾ÙÐÐÕÉÁ¿£¬£¬£¬£¬£¬£¬£¬£¬¿ÉÒÔÓÐÓõط¢Ã÷Ì׹ܵÄȱÏÝ£¬£¬£¬£¬£¬£¬£¬£¬²»È»£¬£¬£¬£¬£¬£¬£¬£¬ÓÉÓÚÌ׹ܵĵçÈݱÈÈÆ×éµÄµçÈÝСµÃ¶à£¬£¬£¬£¬£¬£¬£¬£¬ÔÚÕÉÁ¿±äѹÆ÷ÈÆ×éÁ¬Í¬Ì׹ܵÄtgδʱ£¬£¬£¬£¬£¬£¬£¬£¬¾Í²»Ò×·´Ó¦Ì×¹ÜÄڵľøÔµÈ±ÏÝ¡£¡£¡£¡£¡£¡£¡£
ÔÚͨ¹ýtgδÖµÅиôÀëԵ״̬ʱ£¬£¬£¬£¬£¬£¬£¬£¬Í¬Ñù±ØÐè×ÅÖØÓÚÓë¸Ã×°±¸ÀúÄêµÄtgδÖµÏà½ÏÁ¿ÒÔ¼°ºÍ´¦ÓÚͬÑùÔËÐÐÌõ¼þϵÄͬÀàÐÍ×°±¸Ïà½ÏÁ¿¡£¡£¡£¡£¡£¡£¡£×ÝÈ»tgδֵδÁè¼Ý±ê×¼£¬£¬£¬£¬£¬£¬£¬£¬µ«ºÍÒÑÍù±ÈÒÔ¼°ºÍͬÑùÔËÐÐÌõ¼þµÄÆäËû×°±¸±È£¬£¬£¬£¬£¬£¬£¬£¬tgδͻȻÏÔ×ÅÔö´óʱ£¬£¬£¬£¬£¬£¬£¬£¬¾Í±ØÐè¾ÙÐд¦Öóͷ££¬£¬£¬£¬£¬£¬£¬£¬²»È»³£³£»£»£»£»£»£»£»£»áÔÚÔËÐÐÖб¬·¢Ê¹ʡ£¡£¡£¡£¡£¡£¡£
ͼ1ΪÔÚ½»Á÷µçѹ×÷ÓÃϾøÔµµÄµÈÖµµç·ºÍÏàÁ¿Í¼¡£¡£¡£¡£¡£¡£¡£ÓÉͼ¿É¼û£¬£¬£¬£¬£¬£¬£¬£¬Á÷¹ý½éÖʵĵçÁ÷ÓÉÁ½²¿·Ö×é³É£¬£¬£¬£¬£¬£¬£¬£¬¼´Í¨¹ýCxµÄµçÈݵçÁ÷·ÖÁ¿ICx,ͨ¹ýRxµÄÓÐI¹¦µçÁ÷·ÖÁ¿IRx¡£¡£¡£¡£¡£¡£¡£Í¨³£ICx>>IRx,½éÖÊËðʧ½ÇδÉõС¡£¡£¡£¡£¡£¡£¡£½éÖÊÖеŦÂÊÏûºÄ

tgδΪ½éÖÊÏûºÄ½ÇµÄÕýÇÐ(»ò³Æ½éÖÊÏûºÄÒòÊý)£¬£¬£¬£¬£¬£¬£¬£¬Ò»Ñùƽ³£¾ù½ÏÁ¿Ð¡¡£¡£¡£¡£¡£¡£¡£Ï°¹ßÉÏÒ²ÓгÆtgδΪ½éÖÊÏûºÄ½ÇµÄ¡£¡£¡£¡£¡£¡£¡£

ͨ¹ýÕÉÁ¿tg䣬£¬£¬£¬£¬£¬£¬£¬¿ÉÒÔ·´Ó¦³ö¾øÔµµÄһϵÁÐȱÏÝ£¬£¬£¬£¬£¬£¬£¬£¬Èç¾øÔµÊܳ±£¬£¬£¬£¬£¬£¬£¬£¬ÓÍ»ò½þ×ÕÎïÔàÎÛ»òÁÓ»¯±äÖÊ£¬£¬£¬£¬£¬£¬£¬£¬¾øÔµÖÐÓÐÆøÏ¶±¬·¢·ÅµçµÈ¡£¡£¡£¡£¡£¡£¡£Õâʱ£¬£¬£¬£¬£¬£¬£¬£¬Á÷¹ý¾øÔµµÄµçÁ÷ÖÐÓ馵çÁ÷·ÖÁ¿IRxÔö´óÁË£¬£¬£¬£¬£¬£¬£¬£¬tgδÒ²¼Ó´ó¡£¡£¡£¡£¡£¡£¡£ÐèÒªÖ¸³öµÄÊÇ£º¾øÔµÖб£´æÆøÏ¶ÕâÖÖȱÏÝ£¬£¬£¬£¬£¬£¬£¬£¬×îºÃͨ¹ý×÷tgδÓëÍâ¼ÓµçѹµÄ¹ØÏµÇúÏßtgδ=f(U)À´·¢Ã÷¡£¡£¡£¡£¡£¡£¡£
ÀýÈç¹ØÓÚ·¢µç»úÏß°ô£¬£¬£¬£¬£¬£¬£¬£¬ÈôÊǾøÔµÀÏ»¯¡¢ÆøÏ¶½Ï¶à¡¢Ôòtgδ=f(U)½«·ºÆðÏÔ×ŵÄתÕÛ¡¢Èçͼ2Ëùʾ¡£¡£¡£¡£¡£¡£¡£Uc´ú±íÆøÏ¶×îÏȷŵçʱµÄÍâ¼Óµçѹ£¬£¬£¬£¬£¬£¬£¬£¬´ÓtgδÔöÌíµÄ¶¸¶È¿É·´Ó¦³öÀÏ»¯µÄˮƽ¡£¡£¡£¡£¡£¡£¡£µ«¹ØÓÚ±äµç×°±¸À´Ëµ£¬£¬£¬£¬£¬£¬£¬£¬ÓÉÓÚµçÇŵçѹ(2500~10000V)³£Ô¶µÍÓÚ×°±¸µÄÊÂÇéµçѹ£¬£¬£¬£¬£¬£¬£¬£¬Òò´ËtgδÕÉÁ¿Ëä¿É·´Ó¦³ö¾øÔµÊܳ±¡¢ÓÍ»ò½þ×ÕÎïÔàÎÛ¡¢ÁÓ»¯±äÖʵÈȱÏÝ£¬£¬£¬£¬£¬£¬£¬£¬µ«ÄÑÒÔ·´Ó¦³ö¾øÔµÄÚ²¿µÄÊÂÇéµçѹϾֲ¿·ÅµçÐÔȱÏÝ¡£¡£¡£¡£¡£¡£¡£

ÓÉÓÚtgδÊÇÒ»ÏîÌåÏÖ¾øÔµÄÚ¹¦ÂÊÏûºÄ¾ÞϸµÄ²ÎÊý£¬£¬£¬£¬£¬£¬£¬£¬¹ØÓÚÔȳƽéÖÊ£¬£¬£¬£¬£¬£¬£¬£¬ËüÏÖʵÉÏ·´Ó¦×ŵ¥Î»Ìå»ý½éÖÊÄڵĽéÖÊÏûºÄ£¬£¬£¬£¬£¬£¬£¬£¬Óë¾øÔµµÄÌå»ý¾ÞϸûÓйØÏµ¡£¡£¡£¡£¡£¡£¡£ÕâÒ»µã¿ÉÒÔÃ÷È·ÈçÏ£ºÔÚÒ»¶¨µÄ¾øÔµµÄÊÂÇ鳡ǿÏ£¬£¬£¬£¬£¬£¬£¬£¬¿ÉÒÔ½üËÆµØÒÔΪ¾øÔµºñ¶ÈÕý±ÈÓÚU¡£¡£¡£¡£¡£¡£¡£µ±¾øÔµºñ¶ÈÒ»¶¨£¬£¬£¬£¬£¬£¬£¬£¬¾øÔµÃæ»ýÔ½´ó£¬£¬£¬£¬£¬£¬£¬£¬ÆäµçÈÝÁ¿Ô½´ó£¬£¬£¬£¬£¬£¬£¬£¬ICxÒ²Ô½´ó£¬£¬£¬£¬£¬£¬£¬£¬¹ÊICXÕý±ÈÓÚ¾øÔµÃæ»ý¡£¡£¡£¡£¡£¡£¡£Òò´Ë½üËÆµØÒÔΪ¾øÔµÌå»ýÕý±ÈÓÚU ICx¡£¡£¡£¡£¡£¡£¡£ÓÉʽ£¨1£©½øÒ»²½¿ÉÖª£¬£¬£¬£¬£¬£¬£¬£¬tgδ·´Ó¦µ¥Î»Ìå»ýÖеĽéÖÊÏûºÄ¡£¡£¡£¡£¡£¡£¡£
ÈôÊǾøÔµÄÚµÄȱÏݲ»ÊÇÂþÑÜÐÔ¶øÊǼ¯ÖÐÐԵ쬣¬£¬£¬£¬£¬£¬£¬ÔòtgδÓÐʱ·´Ó¦¾Í²»Ñ¸ËÙ¡£¡£¡£¡£¡£¡£¡£±»ÊÔ¾øÔµµÄÌå»ýÔ½´ó£¬£¬£¬£¬£¬£¬£¬£¬»ò¼¯ÖÐÐÔȱÏÝËùÕ¼µÄÌå»ýԽС£¡£¡£¡£¡£¡£¡£¬£¬£¬£¬£¬£¬£¬£¬ÄÇô¼¯ÖÐÐÔȱÏÝ´¦µÄ½éÖÊÏûºÄÕ¼±»ÊÔ¾øÔµËùÓнéÖÊÏûºÄÖеıÈÖØ¾ÍԽС£¡£¡£¡£¡£¡£¡£¬£¬£¬£¬£¬£¬£¬£¬¶øICxÒ»Ñùƽ³£ÏÕЩÊÇÎȹ̵쬣¬£¬£¬£¬£¬£¬£¬¹ÊÓÉʽ£¨1£©¿ÉÖª£¬£¬£¬£¬£¬£¬£¬£¬tgδÔöÌíµÃÒ²Ô½ÉÙ£¬£¬£¬£¬£¬£¬£¬£¬ÕâÑù£¬£¬£¬£¬£¬£¬£¬£¬²âtgδ·¨¾Í²»Ñ¸ËÙ¡£¡£¡£¡£¡£¡£¡£
¹ØÓÚÏñµç»ú¡¢µçÀÂÕâÀàµçÆø×°±¸£¬£¬£¬£¬£¬£¬£¬£¬ÓÉÓÚÔËÐÐÖйÊÕ϶àΪ¼¯ÖÐÐÔȱÏÝÉú³¤ËùÖ£¬£¬£¬£¬£¬£¬£¬£¬²¢ÇÒ±»ÊÔ¾øÔµµÄÌå»ý½Ï´ó£¬£¬£¬£¬£¬£¬£¬£¬tgδ·¨Ð§¹û¾Í²îÁË¡£¡£¡£¡£¡£¡£¡£Òò´Ë£¬£¬£¬£¬£¬£¬£¬£¬Í¨³£¶ÔÔËÐÐÖеĵç»ú¡¢µçÀµÈ×°±¸¾ÙÐÐÔ¤·ÀÐÔÊÔÑéʱ£¬£¬£¬£¬£¬£¬£¬£¬±ã²»×öÕâÏîÊÔÑé¡£¡£¡£¡£¡£¡£¡£Ïà·´£¬£¬£¬£¬£¬£¬£¬£¬¹ØÓÚÌ׹ܻò»¥¸ÐÆ÷¾øÔµ£¬£¬£¬£¬£¬£¬£¬£¬tgδÊÔÑé¾ÍÊÇÒ»Ïî±Ø²»¿ÉÉÙ²¢ÇÒÊǽÏÁ¿ÓÐÓõÄÊÔÑé¡£¡£¡£¡£¡£¡£¡£ÓÉÓÚÌ׹ܵÄÌå»ýС£¡£¡£¡£¡£¡£¡£¬£¬£¬£¬£¬£¬£¬£¬tgδ·¨²»µ«¿ÉÒÔ·´Ó¦Ì׹ܾøÔµµÄÖÜÈ«ÇéÐΣ¬£¬£¬£¬£¬£¬£¬£¬²¢ÇÒÓÐʱ¿ÉÒÔ¼ì²é³öÆäÖеļ¯ÖÐÐÔȱÏÝ¡£¡£¡£¡£¡£¡£¡£
µ±±»ÊÔÆ·¾øÔµÓɲî±ðµÄ½éÖÊ×é³É£¬£¬£¬£¬£¬£¬£¬£¬ÀýÈçÓÉÁ½ÖÖ²î±ðµÄ¾øÔµ²¿·Ö²¢Áª×é³Éʱ£¬£¬£¬£¬£¬£¬£¬£¬Ôòƾ֤±»ÊÔÆ·×ܵĽéÖÊÏûºÄΪÆäÁ½¸ö×é³É²¿·Ö½éÖÊÏûºÄÖ®ºÍ£¬£¬£¬£¬£¬£¬£¬£¬²¢ÇÒ±»ÊÔÆ·ËùÊܵçѹ¼´Îª¸÷×é³É²¿·ÖËùÊܵĵçѹ£¬£¬£¬£¬£¬£¬£¬£¬ÓÉʽ£¨1£©¿ÉµÃ

Òò´Ë

ÓÉʽ(2)¿ÉÖª£¬£¬£¬£¬£¬£¬£¬£¬C2/CxԽС£¡£¡£¡£¡£¡£¡£¬£¬£¬£¬£¬£¬£¬£¬ÔòC2µÄȱÏÝ(tgδ)Ôö´ó)ÔÚ²âÕûÌåµÄtgδʱԽÄÑ·¢Ã÷£¬£¬£¬£¬£¬£¬£¬£¬¹Ê¹ØÓÚ¿ÉÒÔÆÊÎöΪ¸÷¸ö¾øÔµ²¿·ÖµÄ±»ÊÔÆ·£¬£¬£¬£¬£¬£¬£¬£¬³£ÓÃÆÊÎö¾ÙÐÐtgδÕÉÁ¿µÄ²½·¥À´¸üÓÐÓõط¢Ã÷ȱÏÝ¡£¡£¡£¡£¡£¡£¡£ÀýÈç²â±äѹÆ÷tgδʱ£¬£¬£¬£¬£¬£¬£¬£¬¶ÔÌ׹ܵÄtgδµ¥¶À¾ÙÐÐÕÉÁ¿£¬£¬£¬£¬£¬£¬£¬£¬¿ÉÒÔÓÐÓõط¢Ã÷Ì׹ܵÄȱÏÝ£¬£¬£¬£¬£¬£¬£¬£¬²»È»£¬£¬£¬£¬£¬£¬£¬£¬ÓÉÓÚÌ׹ܵĵçÈݱÈÈÆ×éµÄµçÈÝСµÃ¶à£¬£¬£¬£¬£¬£¬£¬£¬ÔÚÕÉÁ¿±äѹÆ÷ÈÆ×éÁ¬Í¬Ì׹ܵÄtgδʱ£¬£¬£¬£¬£¬£¬£¬£¬¾Í²»Ò×·´Ó¦Ì×¹ÜÄڵľøÔµÈ±ÏÝ¡£¡£¡£¡£¡£¡£¡£
ÔÚͨ¹ýtgδÖµÅиôÀëԵ״̬ʱ£¬£¬£¬£¬£¬£¬£¬£¬Í¬Ñù±ØÐè×ÅÖØÓÚÓë¸Ã×°±¸ÀúÄêµÄtgδÖµÏà½ÏÁ¿ÒÔ¼°ºÍ´¦ÓÚͬÑùÔËÐÐÌõ¼þϵÄͬÀàÐÍ×°±¸Ïà½ÏÁ¿¡£¡£¡£¡£¡£¡£¡£×ÝÈ»tgδֵδÁè¼Ý±ê×¼£¬£¬£¬£¬£¬£¬£¬£¬µ«ºÍÒÑÍù±ÈÒÔ¼°ºÍͬÑùÔËÐÐÌõ¼þµÄÆäËû×°±¸±È£¬£¬£¬£¬£¬£¬£¬£¬tgδͻȻÏÔ×ÅÔö´óʱ£¬£¬£¬£¬£¬£¬£¬£¬¾Í±ØÐè¾ÙÐд¦Öóͷ££¬£¬£¬£¬£¬£¬£¬£¬²»È»³£³£»£»£»£»£»£»£»£»áÔÚÔËÐÐÖб¬·¢Ê¹ʡ£¡£¡£¡£¡£¡£¡£


