ÁªÏµÖйú¡¤½ðɳ³Çjs93Ïß·¼ì²âÖÐÐÄ(¹É·Ý)ÓÐÏÞ¹«Ë¾-¹Ù·½ÍøÕ¾

ÊÖ»ú£ºÍô˾Àí15802760502
ÓÊÏ䣺hezi027@qq.com
QQ£º3212587206
µØµã£ºÎ人Êй¤¾ßºþÇø´´¹È·20ºÅ¿Æ´´ÖÐÐÄ22¶°
Ïà¹ØÎÄÕÂ
- 1¸É»õ·ÖÏíØÎ人Öйú¡¤½ðɳ³Çjs93Ïß·¼ì²âÖÐÐÄ(¹É·Ý)ÓÐÏÞ¹«Ë¾-¹Ù·½ÍøÕ¾ÖÇÄܼì²âÖÎÀíϵͳÏÈÈÝ
- 2¸É»õ·ÖÏíØÎ人Öйú¡¤½ðɳ³Çjs93Ïß·¼ì²âÖÐÐÄ(¹É·Ý)ÓÐÏÞ¹«Ë¾-¹Ù·½ÍøÕ¾Çå¾²¹¤Óþ߼ì²âÖÎÀíϵͳ(ÔÆÆ½Ì¨)ÏÈÈÝ
- 3¸É»õ·ÖÏíØÁ½ÖÖÀ׵繥»÷×°±¸±ÈÕÕÓÅÈõµã
- 4¸É»õ·ÖÏíØ¾Ö·ÅÆÁÕÏÊұȵç´ÅÆÁÕÏÊÒÒªÇó¸ü¸ß
- 5¸É»õ·ÖÏíØÎ人Öйú¡¤½ðɳ³Çjs93Ïß·¼ì²âÖÐÐÄ(¹É·Ý)ÓÐÏÞ¹«Ë¾-¹Ù·½ÍøÕ¾²úÆ·ÓÅÊÆ
- 6¸É»õ·ÖÏíØÎ人Öйú¡¤½ðɳ³Çjs93Ïß·¼ì²âÖÐÐÄ(¹É·Ý)ÓÐÏÞ¹«Ë¾-¹Ù·½ÍøÕ¾Çå¾²¹¤Óþ߲úÆ·ÓÅÊÆ
- 7¸É»õ·ÖÏíØÎ人Öйú¡¤½ðɳ³Çjs93Ïß·¼ì²âÖÐÐÄ(¹É·Ý)ÓÐÏÞ¹«Ë¾-¹Ù·½ÍøÕ¾¾Ö·ÅÒDzî±ð¼°ÓÅÊÆ
- 8¸É»õ·ÖÏíØÎ人Öйú¡¤½ðɳ³Çjs93Ïß·¼ì²âÖÐÐÄ(¹É·Ý)ÓÐÏÞ¹«Ë¾-¹Ù·½ÍøÕ¾ÎÞ¾Ö·ÅÄÍѹ²âÊÔϵͳÓÅÊÆ
- 9¸É»õ·ÖÏíØÎ人Öйú¡¤½ðɳ³Çjs93Ïß·¼ì²âÖÐÐÄ(¹É·Ý)ÓÐÏÞ¹«Ë¾-¹Ù·½ÍøÕ¾À׵繥»÷²âÊÔϵͳÓÅÊÆ
- 10HZHL-400A-I ÈýÏàÖÇÄÜ»ØÂ·µç×è²âÊÔÒDZܿÓÖ¸ÄÏ
ÊÔÑé֪ʶ | µçÀÂÕðµ´²¨¾Ö·ÅÊÔÑé--¡¾Öйú¡¤½ðɳ³Çjs93Ïß·¼ì²âÖÐÐÄ(¹É·Ý)ÓÐÏÞ¹«Ë¾-¹Ù·½ÍøÕ¾¡¿
Ðû²¼Ê±¼ä£º2024-02-19 16:18:58ÈËÆø£º
µçÀÂÕñµ´²¨¼ì²âÊÖÒÕÖ÷ÒªÓÃÓÚ½»Áª¾ÛÒÒÏ©µçÁ¦µçÀ¼ì²â£¬£¬£¬£¬£¬£¬£¬ÊÇÊôÓÚÀëÏß¼ì²âµÄÒ»ÖÖÓÐÓÃÐÎʽ ¡£¡£¡£¡£¡£¡£¡£¡£¸ÃÊÖÒÕ»ùÓÚLCR×èÄáÕñµ´ÔÀí£¬£¬£¬£¬£¬£¬£¬ÔÚÍê³ÉµçÀÂÖ±Á÷³äµçµÄ»ù´¡ÉÏ£¬£¬£¬£¬£¬£¬£¬Í¨¹ýÄÚÖõĸßѹµç¿¹Æ÷¡¢¸ßѹʵʱ¹Ì̬¿ª¹ØÓëÊÔÆ·µçÀÂÐγÉ×èÄáÕñµ´µçѹ²¨£¬£¬£¬£¬£¬£¬£¬ÔÚÊÔÆ·µçÀÂÉÏÊ©¼Ó½üËÆ¹¤ÆµµÄÕýÏÒµçѹ²¨£¬£¬£¬£¬£¬£¬£¬Òý·¢³öµçÀÂDZÔÚȱÏÝ´¦µÄ·ÅµçÐźš£¡£¡£¡£¡£¡£¡£¡£
µçÀÂÕðµ´²¨ÊÔÑéÔÀí±ê×¼»ùÓÚ×èÄáÕñµ´²¨µÄµçÀ¾ַżì²âÒªÁì¾ßÓй©µçÈÝÁ¿Ð¡¡¢²âÊÔʱ¼ä¶Ì¡¢ÏÖ³¡²Ù×÷Àû±ã¡¢¶ÔµçÀ±¾ÌåÎÞËðÉ˵ÈÏÔÖøÌØµã£¬£¬£¬£¬£¬£¬£¬¿ÉÔ¤ÏÈ·¢Ã÷ȱÏݲ¢¶ÔȱÏÝ׼ȷ¶¨Î»£¬£¬£¬£¬£¬£¬£¬ÊÇÏÖÔÚÉÏÏȽøµÄµçÀ¾ַÅÕï¶ÏÒªÁìÖ®Ò»¡£¡£¡£¡£¡£¡£¡£¡£
Åбð¾Ö·ÅÀàÐͲ¢¶¨Î»¹ÊÕÏλÖᣡ£¡£¡£¡£¡£¡£¡£¸ÃÊÖÒÕÔÚ½üËÆ¹¤Æµ×´Ì¬Ï»ùÓÚÂö³åµçÁ÷·¨¸ßѸËٶȼì²â¾Ö²¿·Åµç£¬£¬£¬£¬£¬£¬£¬ÔÚ´Ë»ù´¡ÉÏÌáÈ¡¾Ö·ÅÂö³åµÄÐÅÏ¢£¬£¬£¬£¬£¬£¬£¬ÍŽá¹ÊÕÏģʽ¿âÅбðʵ²â¹ÊÕÏÀàÐÍ£»£»£»£»£»»ùÓÚÂö³åÐźÅÔÚµçÀÂÖÐÈö²¥µÄÐв¨ÔÀíÍê³ÉÂö³å¶ÔµÄÆ¥Å䣬£¬£¬£¬£¬£¬£¬Æ¾Ö¤Ê±¼ä²îË㷨׼ȷÅÌËã¹ÊÕϵãËùÔÚλÖᣡ£¡£¡£¡£¡£¡£¡£
ÊÔÑé×°±¸--HZZDBϵÁÐ µçÀÂ×èÄáÕðµ´²¨
Õðµ´²¨ÊÇÒ»ÖÖ½ô´Õ, ÇáÁ¿ÇÒÓÃ;ÆÕ±éµÄ²úƷϵÁÐ, ÓÃÓÚ²âÊÔºÍÕï¶ÏÖÐѹÅäµçµçÀ¡£¡£¡£¡£¡£¡£¡£¡£ÏµÍ³¿É±à³Ì¿ØÖÆ, ¾ßÓÐ×Ô¶¯ÄÍѹ, ¾Ö²¿·Åµç (PD) ÕÉÁ¿ºÍÆÊÎöÒÔ¼°¾Ö·Å¶¨Î»¹¦Ð§¡£¡£¡£¡£¡£¡£¡£¡£Ê¹Óà ÅäÌ×Ì×¼þ¿ÉÒÔÇáËɾÙÐпØÖÆºÍÆÊÎö¡£¡£¡£¡£¡£¡£¡£¡£
DAC µçÀ²âÊÔ²»µ«½öÊÇ»ù±¾µÄÆÀ¹À“ºÃ»ò»µ”µÄÕÉÁ¿ÊÖ¶Î, ¸üÊÇÒ»Ö֏߽׵įÊÎöºÍÕï¶ÏÀíÄî¡£¡£¡£¡£¡£¡£¡£¡£ËüÔÊÐí¶ÔРװ, άÐÞ»òÍýÏëÄ¥Á·µÄµçÀ¾øÔµ×´Ì¬¾ÙÐÐÆÀ¹À, ´Ó¶øÎª×ʲúÖÎÀíÌṩ²Î¿¼¡£¡£¡£¡£¡£¡£¡£¡£ÏµÍ³µÄÕÉÁ¿Ä£Ê½°üÀ¨
¡ôÔÚÒ»ÂÉ»ò¸ßÓÚ¹¤¿öµçѹϵÄÄÍѹ²âÊÔ
¡ô¶ÔÕûÌåµçÀÂϵͳ¾ÙÐоֲ¿·ÅµçÕÉÁ¿, ÆÊÎöºÍ¶¨Î»
¡ô½éËðÒò×Ó (tan δ) µÄ¹ÀËã¡£¡£¡£¡£¡£¡£¡£¡£DAC µçѹ²âÊÔºÍ¾Ö·ÅÆÊÎöÄܹ»¿É¿¿µØ¼ì²â
¡ôÓÉ×°ÖûòÆÌÉèÒýÆðµÄ¾øÔµÈ±ÏÝ
¡ôµçÀ¸½¼þµÄȱÏÝ, ¼´ÖÐÐÄÌÖÂۺ͵çÀÂÖÕ¶Ë
¡ôÓÉÀÏ»¯Àú³Ìµ¼ÖµĵçÀ¾øÔµÁÓ»¯
ÊÔÑéÔÀí
»ùÓÚ OWTS ÊÖÒյIJâÊÔµçѹ±¬·¢ÔÀíÈçͼ1Ëùʾ¡£¡£¡£¡£¡£¡£¡£¡£Ö±Á÷¸ßѹµçÔ´Ê×ÏÈͨ¹ýÏßÐÔÒ»Á¬Éýѹ·½·¨¶Ô±»²âµçÀ¾ÙÐÐÖð²½³äµçª¨³äµçµçÁ÷ºã¶¨ª©¡¢¼ÓѹÖÁÔ¤ÉèÖµ¡£¡£¡£¡£¡£¡£¡£¡£¼ÓѹÍê³Éºó£¬£¬£¬£¬£¬£¬£¬¹Ì̬¸ßѹ¿ª¹Ø S£¨¼¤¹â´¥·¢³¡Ð§Ó¦¹Ü LTT£©ÔÚСÓÚ 1μS µÄʱ¼äÄڱպϣ¬£¬£¬£¬£¬£¬£¬Ê¹±»²âµçÀµçÈÝÓë OWTS ϵͳÖиßѹµç¸Ð L ±¬·¢Ð³Õñªª´Ó¶øÔÚ±»²âµçÀÂÉϱ¬·¢×èÄáÕñµ´½»±äµçѹ£¨DAC£©£¬£¬£¬£¬£¬£¬£¬Æä²¨Ðμ°ÆµÂÊ¿¿½ü¹¤Æµµçѹ£¬£¬£¬£¬£¬£¬£¬ÇÒÒ»Á¬Ê±¼äΪ mS ¼¶£¬£¬£¬£¬£¬£¬£¬¶ÔµçÀ¾øÔµÎÞËðÉË¡£¡£¡£¡£¡£¡£¡£¡£
ÓÃÖ±Á÷µçÔ´½«±»²âÊÔµçÀÂÔÚ¼¸ÃëÖÐÄÚ³äµçÖÁÊÂÇéµçѹ(¶î¶¨µçѹ)¡£¡£¡£¡£¡£¡£¡£¡£ÊµÊ±¿ìËÙ״̬¿ª¹Ø S ±ÕºÏ£¬£¬£¬£¬£¬£¬£¬½«±»²âµçÀºͿÕÐĵç¸Ð×é³É´®ÁªÐ³Õñ»ØÂ·
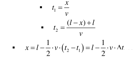
»ØÂ·×îÏÈÒÔµÄÆµÂʾÙÐÐÕñµ´¡£¡£¡£¡£¡£¡£¡£¡£¿£¿£¿£¿£¿£¿ÕÐĵç¸Ðֵƾ֤гÕñƵÂʵÄÒªÇó¾ÙÐÐÑ¡Ôñ£¬£¬£¬£¬£¬£¬£¬ÆµÂʹæÄ£ 50-1000Hz¡£¡£¡£¡£¡£¡£¡£¡£Í¼ 1 ÖеÄÖÐѹµç·һÑùƽ³£¾ßÓÐÏà¶ÔµÍµÄ½éÖÊÏûºÄ½ÇµÄÌØµã£¬£¬£¬£¬£¬£¬£¬Óë¾ßÓеÍÏûºÄµÄ¿ÕÐĵç¸ÐÏàÅ䣬£¬£¬£¬£¬£¬£¬¿É»ñµÃ¾ßÓÐ¸ßÆ·ÖÊÒòÊýµÄгÕñ»ØÂ·¡£¡£¡£¡£¡£¡£¡£¡£»£»£»£»£»ØÂ·Æ·ÖÊ Q Ò»Ñùƽ³£Îª30-100£¬£¬£¬£¬£¬£¬£¬Õñµ´²¨ÒÔгÕñƵÂÊÔÚ 0.3-1s ÄÚË¥¼õÍê±Ï£¬£¬£¬£¬£¬£¬£¬ÕâÒ»Àú³ÌÖ»Óм¸Ê®·ÖÖ®Ò»Öܲ¨£¬£¬£¬£¬£¬£¬£¬²¢¶Ô±»²âÊÔµçÀ³äµç£¬£¬£¬£¬£¬£¬£¬Óë 50Hz(60Hz)Ê±ÊÆ²¿·ÅµçºÜÊÇÏàËÆ¡£¡£¡£¡£¡£¡£¡£¡£ª¡ÏµÍ³½ÓÄÉÂö³å·´Éä·¨¾ÙÐоֲ¿·Åµç¶¨Î»£¬£¬£¬£¬£¬£¬£¬ÔÀíʾÒâÈçͼËùʾ¡£¡£¡£¡£¡£¡£¡£¡£²âÊÔÒ»Ìõ³¤¶ÈΪ LµÄµçÀÂ,¼ÙÉèÔÚ¾à²âÊÔ¶Ë x ´¦±¬·¢¾Ö²¿·Åµç,Âö³åÑØµçÀÂÏòÁ½¸öÏà·´Æ«ÏòÈö²¥,ÆäÖÐÒ»¸öÂö³å(ΪÀû±ãÆð¼û,ÎÄÖгÆÎª“ÈëÉ䲨”)¾ÓÉʱ¼ä t 1 µÖ´ï²âÊÔ¶Ë,ÁíÒ»¸öÂö³å(±¾ÎÄÖгÆÎª“·´É䲨”)Ïò²âÊÔ¶Ô¶ËÈö²¥,²¢ÔڶԶ˱¬·¢·´Éä,Ö®ºóÔÙÏò²âÊÔ¶ËÈö²¥ªª¾ÓÉʱ¼ä t 2 µÖ´ï²âÊÔ¶Ë¡£¡£¡£¡£¡£¡£¡£¡£Æ¾Ö¤Á½¸öÂö³åµÖ´ïÊԶ˵Äʱ¼ä²î¡÷ t£¬£¬£¬£¬£¬£¬£¬¿ÉÅÌËã¾Ö²¿·Åµç±¬·¢Î»Ö㬣¬£¬£¬£¬£¬£¬¼´£º
ʽÖУ¬£¬£¬£¬£¬£¬£¬ v ΪÂö³åÔÚµçÀÂÖÐÈö²¥µÄ²¨ËÙ

¹ØÓÚÏÖ³¡µÄµçÀ¾ַÅÕÉÁ¿¶¨Î»À´Ëµªª±»²âµçÀ³¤¶ÈÒ»Ö±ÊÇÓ°ÏìÕÉÁ¿×¼È·ÐÔµÄÒ»¸öÖ÷ÒªÒòËØ¡£¡£¡£¡£¡£¡£¡£¡£²»µ«ÊÇÓÉÓÚ¸ü³¤µÄµçÀ¶ÔÓ¦ÓµÓиü´óµÄµçÈÝÖµ£¬£¬£¬£¬£¬£¬£¬¹ØÓÚ¼Óѹ³äµç»·½ÚÒâζןü¸ßµÄ³äµç¹¦ÂÊ£¬£¬£¬£¬£¬£¬£¬Í¬Ê±Ò²ÓÉÓÚ¸ü³¤µÄµçÀÂ»á¸øËùÐè²¶»ñ¾Ö·ÅÐźŴøÀ´¸ü´óµÄË¥¼õºÍ»û±ä¡£¡£¡£¡£¡£¡£¡£¡£ª¡¹Å°åµ¥¶ËÕñµ´²¨²âÊÔϵͳÊÇ»ùÓÚÔÚ±»²âµçÀµÄÒ»¶Ë¼ì²â¾Ö·Å³õʼÐźźÍͳһ¾Ö·ÅÊÂÎñ´ÓµçÀÂÔ¶¶ËÕۻط´ÉäÐźŵÄʱ¼ä²î¡£¡£¡£¡£¡£¡£¡£¡£ÈôÊǾַÅȱÏÝλÓÚ¿¿½üµçÀ½ü¶ËÒ»²à£¬£¬£¬£¬£¬£¬£¬¾Ö·ÅµÄ·´É䲨ÐÎÔòÐè;¾¶Áè¼Ý 1,5 ±¶µçÀÂÈ«³¤µÄ·¾¶²Å»ªµÖ´ï½ü¶ËµÄ¼ì²âµ¥Î»£¬£¬£¬£¬£¬£¬£¬Õâ»á¸ø¾Ö·ÅÐźŴøÀ´ÎÞ·¨×èÖ¹µÄÎÞν˥¼õ¡£¡£¡£¡£¡£¡£¡£¡£
Êý¾ÝÆÊÎö
ÆÊÎö²âÊÔ¸ÅÀÀ½çÃæ¿É¿´µ½ÏêϸµÄÉèÖᢵçÀµĵçÈÝ¡¢Õñµ´ÆµÂÊ¡¢Î¶ȵÈÏêϸÐÅϢУÑ鲨ÐΣ¬£¬£¬£¬£¬£¬£¬¿É¿´µçÀÂÈ«³¤¼°ÖÐÐÄÌÖÂÛµÄÏêϸλÖÃPRPD ͼªªÒ»ÈýÏóÏ޵ķŵçͼÆ×·´É伴λÖÃÓ³Ïñͼªªµã»÷ÓÒ±ßѰÕÒ·´É䲨£¬£¬£¬£¬£¬£¬£¬µ±ÐźÅÊÂÎñ½ÏÉÙʱ£¬£¬£¬£¬£¬£¬£¬Îó²î¹æÄ£µ÷´óµã£¬£¬£¬£¬£¬£¬£¬È»ºóÊÓ²ìÓÐÎÞÖù×´·ÅµçÌØÕ÷¼°·ÅµçÌØÕ÷²¨ÐÎÏêϸÐÅÏ¢À¸Àï¿É¿´µçÀµçÈÝÖµ¡¢ÆµÂÊ¡¢×èÄáË¥¼õÇúÏß¼°µçÀµĽéËðÖµ¡£¡£¡£¡£¡£¡£¡£¡£
µçÀÂÕðµ´²¨ÊÔÑéÔÀí±ê×¼»ùÓÚ×èÄáÕñµ´²¨µÄµçÀ¾ַżì²âÒªÁì¾ßÓй©µçÈÝÁ¿Ð¡¡¢²âÊÔʱ¼ä¶Ì¡¢ÏÖ³¡²Ù×÷Àû±ã¡¢¶ÔµçÀ±¾ÌåÎÞËðÉ˵ÈÏÔÖøÌØµã£¬£¬£¬£¬£¬£¬£¬¿ÉÔ¤ÏÈ·¢Ã÷ȱÏݲ¢¶ÔȱÏÝ׼ȷ¶¨Î»£¬£¬£¬£¬£¬£¬£¬ÊÇÏÖÔÚÉÏÏȽøµÄµçÀ¾ַÅÕï¶ÏÒªÁìÖ®Ò»¡£¡£¡£¡£¡£¡£¡£¡£
Åбð¾Ö·ÅÀàÐͲ¢¶¨Î»¹ÊÕÏλÖᣡ£¡£¡£¡£¡£¡£¡£¸ÃÊÖÒÕÔÚ½üËÆ¹¤Æµ×´Ì¬Ï»ùÓÚÂö³åµçÁ÷·¨¸ßѸËٶȼì²â¾Ö²¿·Åµç£¬£¬£¬£¬£¬£¬£¬ÔÚ´Ë»ù´¡ÉÏÌáÈ¡¾Ö·ÅÂö³åµÄÐÅÏ¢£¬£¬£¬£¬£¬£¬£¬ÍŽá¹ÊÕÏģʽ¿âÅбðʵ²â¹ÊÕÏÀàÐÍ£»£»£»£»£»»ùÓÚÂö³åÐźÅÔÚµçÀÂÖÐÈö²¥µÄÐв¨ÔÀíÍê³ÉÂö³å¶ÔµÄÆ¥Å䣬£¬£¬£¬£¬£¬£¬Æ¾Ö¤Ê±¼ä²îË㷨׼ȷÅÌËã¹ÊÕϵãËùÔÚλÖᣡ£¡£¡£¡£¡£¡£¡£
ÊÔÑé×°±¸--HZZDBϵÁÐ µçÀÂ×èÄáÕðµ´²¨

Õðµ´²¨ÊÇÒ»ÖÖ½ô´Õ, ÇáÁ¿ÇÒÓÃ;ÆÕ±éµÄ²úƷϵÁÐ, ÓÃÓÚ²âÊÔºÍÕï¶ÏÖÐѹÅäµçµçÀ¡£¡£¡£¡£¡£¡£¡£¡£ÏµÍ³¿É±à³Ì¿ØÖÆ, ¾ßÓÐ×Ô¶¯ÄÍѹ, ¾Ö²¿·Åµç (PD) ÕÉÁ¿ºÍÆÊÎöÒÔ¼°¾Ö·Å¶¨Î»¹¦Ð§¡£¡£¡£¡£¡£¡£¡£¡£Ê¹Óà ÅäÌ×Ì×¼þ¿ÉÒÔÇáËɾÙÐпØÖÆºÍÆÊÎö¡£¡£¡£¡£¡£¡£¡£¡£
DAC µçÀ²âÊÔ²»µ«½öÊÇ»ù±¾µÄÆÀ¹À“ºÃ»ò»µ”µÄÕÉÁ¿ÊÖ¶Î, ¸üÊÇÒ»Ö֏߽׵įÊÎöºÍÕï¶ÏÀíÄî¡£¡£¡£¡£¡£¡£¡£¡£ËüÔÊÐí¶ÔРװ, άÐÞ»òÍýÏëÄ¥Á·µÄµçÀ¾øÔµ×´Ì¬¾ÙÐÐÆÀ¹À, ´Ó¶øÎª×ʲúÖÎÀíÌṩ²Î¿¼¡£¡£¡£¡£¡£¡£¡£¡£ÏµÍ³µÄÕÉÁ¿Ä£Ê½°üÀ¨
¡ôÔÚÒ»ÂÉ»ò¸ßÓÚ¹¤¿öµçѹϵÄÄÍѹ²âÊÔ
¡ô¶ÔÕûÌåµçÀÂϵͳ¾ÙÐоֲ¿·ÅµçÕÉÁ¿, ÆÊÎöºÍ¶¨Î»
¡ô½éËðÒò×Ó (tan δ) µÄ¹ÀËã¡£¡£¡£¡£¡£¡£¡£¡£DAC µçѹ²âÊÔºÍ¾Ö·ÅÆÊÎöÄܹ»¿É¿¿µØ¼ì²â
¡ôÓÉ×°ÖûòÆÌÉèÒýÆðµÄ¾øÔµÈ±ÏÝ
¡ôµçÀ¸½¼þµÄȱÏÝ, ¼´ÖÐÐÄÌÖÂۺ͵çÀÂÖÕ¶Ë
¡ôÓÉÀÏ»¯Àú³Ìµ¼ÖµĵçÀ¾øÔµÁÓ»¯
ÊÔÑéÔÀí

»ùÓÚ OWTS ÊÖÒյIJâÊÔµçѹ±¬·¢ÔÀíÈçͼ1Ëùʾ¡£¡£¡£¡£¡£¡£¡£¡£Ö±Á÷¸ßѹµçÔ´Ê×ÏÈͨ¹ýÏßÐÔÒ»Á¬Éýѹ·½·¨¶Ô±»²âµçÀ¾ÙÐÐÖð²½³äµçª¨³äµçµçÁ÷ºã¶¨ª©¡¢¼ÓѹÖÁÔ¤ÉèÖµ¡£¡£¡£¡£¡£¡£¡£¡£¼ÓѹÍê³Éºó£¬£¬£¬£¬£¬£¬£¬¹Ì̬¸ßѹ¿ª¹Ø S£¨¼¤¹â´¥·¢³¡Ð§Ó¦¹Ü LTT£©ÔÚСÓÚ 1μS µÄʱ¼äÄڱպϣ¬£¬£¬£¬£¬£¬£¬Ê¹±»²âµçÀµçÈÝÓë OWTS ϵͳÖиßѹµç¸Ð L ±¬·¢Ð³Õñªª´Ó¶øÔÚ±»²âµçÀÂÉϱ¬·¢×èÄáÕñµ´½»±äµçѹ£¨DAC£©£¬£¬£¬£¬£¬£¬£¬Æä²¨Ðμ°ÆµÂÊ¿¿½ü¹¤Æµµçѹ£¬£¬£¬£¬£¬£¬£¬ÇÒÒ»Á¬Ê±¼äΪ mS ¼¶£¬£¬£¬£¬£¬£¬£¬¶ÔµçÀ¾øÔµÎÞËðÉË¡£¡£¡£¡£¡£¡£¡£¡£
ÓÃÖ±Á÷µçÔ´½«±»²âÊÔµçÀÂÔÚ¼¸ÃëÖÐÄÚ³äµçÖÁÊÂÇéµçѹ(¶î¶¨µçѹ)¡£¡£¡£¡£¡£¡£¡£¡£ÊµÊ±¿ìËÙ״̬¿ª¹Ø S ±ÕºÏ£¬£¬£¬£¬£¬£¬£¬½«±»²âµçÀºͿÕÐĵç¸Ð×é³É´®ÁªÐ³Õñ»ØÂ·

»ØÂ·×îÏÈÒÔµÄÆµÂʾÙÐÐÕñµ´¡£¡£¡£¡£¡£¡£¡£¡£¿£¿£¿£¿£¿£¿ÕÐĵç¸Ðֵƾ֤гÕñƵÂʵÄÒªÇó¾ÙÐÐÑ¡Ôñ£¬£¬£¬£¬£¬£¬£¬ÆµÂʹæÄ£ 50-1000Hz¡£¡£¡£¡£¡£¡£¡£¡£Í¼ 1 ÖеÄÖÐѹµç·һÑùƽ³£¾ßÓÐÏà¶ÔµÍµÄ½éÖÊÏûºÄ½ÇµÄÌØµã£¬£¬£¬£¬£¬£¬£¬Óë¾ßÓеÍÏûºÄµÄ¿ÕÐĵç¸ÐÏàÅ䣬£¬£¬£¬£¬£¬£¬¿É»ñµÃ¾ßÓÐ¸ßÆ·ÖÊÒòÊýµÄгÕñ»ØÂ·¡£¡£¡£¡£¡£¡£¡£¡£»£»£»£»£»ØÂ·Æ·ÖÊ Q Ò»Ñùƽ³£Îª30-100£¬£¬£¬£¬£¬£¬£¬Õñµ´²¨ÒÔгÕñƵÂÊÔÚ 0.3-1s ÄÚË¥¼õÍê±Ï£¬£¬£¬£¬£¬£¬£¬ÕâÒ»Àú³ÌÖ»Óм¸Ê®·ÖÖ®Ò»Öܲ¨£¬£¬£¬£¬£¬£¬£¬²¢¶Ô±»²âÊÔµçÀ³äµç£¬£¬£¬£¬£¬£¬£¬Óë 50Hz(60Hz)Ê±ÊÆ²¿·ÅµçºÜÊÇÏàËÆ¡£¡£¡£¡£¡£¡£¡£¡£ª¡ÏµÍ³½ÓÄÉÂö³å·´Éä·¨¾ÙÐоֲ¿·Åµç¶¨Î»£¬£¬£¬£¬£¬£¬£¬ÔÀíʾÒâÈçͼËùʾ¡£¡£¡£¡£¡£¡£¡£¡£²âÊÔÒ»Ìõ³¤¶ÈΪ LµÄµçÀÂ,¼ÙÉèÔÚ¾à²âÊÔ¶Ë x ´¦±¬·¢¾Ö²¿·Åµç,Âö³åÑØµçÀÂÏòÁ½¸öÏà·´Æ«ÏòÈö²¥,ÆäÖÐÒ»¸öÂö³å(ΪÀû±ãÆð¼û,ÎÄÖгÆÎª“ÈëÉ䲨”)¾ÓÉʱ¼ä t 1 µÖ´ï²âÊÔ¶Ë,ÁíÒ»¸öÂö³å(±¾ÎÄÖгÆÎª“·´É䲨”)Ïò²âÊÔ¶Ô¶ËÈö²¥,²¢ÔڶԶ˱¬·¢·´Éä,Ö®ºóÔÙÏò²âÊÔ¶ËÈö²¥ªª¾ÓÉʱ¼ä t 2 µÖ´ï²âÊÔ¶Ë¡£¡£¡£¡£¡£¡£¡£¡£Æ¾Ö¤Á½¸öÂö³åµÖ´ïÊԶ˵Äʱ¼ä²î¡÷ t£¬£¬£¬£¬£¬£¬£¬¿ÉÅÌËã¾Ö²¿·Åµç±¬·¢Î»Ö㬣¬£¬£¬£¬£¬£¬¼´£º

ʽÖУ¬£¬£¬£¬£¬£¬£¬ v ΪÂö³åÔÚµçÀÂÖÐÈö²¥µÄ²¨ËÙ


ͼ 2 Âö³å·´Éä·¨ÔÀíʾÒâͼ
¹ØÓÚÏÖ³¡µÄµçÀ¾ַÅÕÉÁ¿¶¨Î»À´Ëµªª±»²âµçÀ³¤¶ÈÒ»Ö±ÊÇÓ°ÏìÕÉÁ¿×¼È·ÐÔµÄÒ»¸öÖ÷ÒªÒòËØ¡£¡£¡£¡£¡£¡£¡£¡£²»µ«ÊÇÓÉÓÚ¸ü³¤µÄµçÀ¶ÔÓ¦ÓµÓиü´óµÄµçÈÝÖµ£¬£¬£¬£¬£¬£¬£¬¹ØÓÚ¼Óѹ³äµç»·½ÚÒâζןü¸ßµÄ³äµç¹¦ÂÊ£¬£¬£¬£¬£¬£¬£¬Í¬Ê±Ò²ÓÉÓÚ¸ü³¤µÄµçÀÂ»á¸øËùÐè²¶»ñ¾Ö·ÅÐźŴøÀ´¸ü´óµÄË¥¼õºÍ»û±ä¡£¡£¡£¡£¡£¡£¡£¡£ª¡¹Å°åµ¥¶ËÕñµ´²¨²âÊÔϵͳÊÇ»ùÓÚÔÚ±»²âµçÀµÄÒ»¶Ë¼ì²â¾Ö·Å³õʼÐźźÍͳһ¾Ö·ÅÊÂÎñ´ÓµçÀÂÔ¶¶ËÕۻط´ÉäÐźŵÄʱ¼ä²î¡£¡£¡£¡£¡£¡£¡£¡£ÈôÊǾַÅȱÏÝλÓÚ¿¿½üµçÀ½ü¶ËÒ»²à£¬£¬£¬£¬£¬£¬£¬¾Ö·ÅµÄ·´É䲨ÐÎÔòÐè;¾¶Áè¼Ý 1,5 ±¶µçÀÂÈ«³¤µÄ·¾¶²Å»ªµÖ´ï½ü¶ËµÄ¼ì²âµ¥Î»£¬£¬£¬£¬£¬£¬£¬Õâ»á¸ø¾Ö·ÅÐźŴøÀ´ÎÞ·¨×èÖ¹µÄÎÞν˥¼õ¡£¡£¡£¡£¡£¡£¡£¡£
Êý¾ÝÆÊÎö

ÆÊÎö²âÊÔ¸ÅÀÀ½çÃæ¿É¿´µ½ÏêϸµÄÉèÖᢵçÀµĵçÈÝ¡¢Õñµ´ÆµÂÊ¡¢Î¶ȵÈÏêϸÐÅϢУÑ鲨ÐΣ¬£¬£¬£¬£¬£¬£¬¿É¿´µçÀÂÈ«³¤¼°ÖÐÐÄÌÖÂÛµÄÏêϸλÖÃPRPD ͼªªÒ»ÈýÏóÏ޵ķŵçͼÆ×·´É伴λÖÃÓ³Ïñͼªªµã»÷ÓÒ±ßѰÕÒ·´É䲨£¬£¬£¬£¬£¬£¬£¬µ±ÐźÅÊÂÎñ½ÏÉÙʱ£¬£¬£¬£¬£¬£¬£¬Îó²î¹æÄ£µ÷´óµã£¬£¬£¬£¬£¬£¬£¬È»ºóÊÓ²ìÓÐÎÞÖù×´·ÅµçÌØÕ÷¼°·ÅµçÌØÕ÷²¨ÐÎÏêϸÐÅÏ¢À¸Àï¿É¿´µçÀµçÈÝÖµ¡¢ÆµÂÊ¡¢×èÄáË¥¼õÇúÏß¼°µçÀµĽéËðÖµ¡£¡£¡£¡£¡£¡£¡£¡£

